成大借重simplatform雲端應用平台助產業發展低溫半導體
發展數十年的半導體產業,是支撐物聯網等數位經濟的重要力量。由於台灣的半導體產業發展非常健全,涵蓋半導體製造、測試、封裝、IC設計等領域,所以有台灣護國產業的美譽。儘管全球不少業者都積極投入第三代半導體發展,然矽基半導體仍然是目前市場主流,也吸引不少團隊投入相關技術研發,國立成功大學電機工程學系副教授高國興帶領的研究團隊,便專注在金氧半場效電晶體(MOSFET)上,日前更因在國研院國網中心的simplatform雲端應用平台上,投入「超低溫金氧半場效電晶體由於直接穿隧電流所造成之臨界擺幅飽和」專案,獲得國研院研發服務平台亮點成果-佳作獎的肯定。
在追求快、省電等趨勢下,縮小金氧半場效電晶體(MOSFET)的物理尺寸,有助於電子元件在開關速度、積體電路密度、功能性,以及降低成本上有明顯幫助。然而根據高國興團隊研究發現,當縮小尺寸後會造成短通道效應,並且增加次臨界導通時的漏電流和功率消耗,因此除了加強閘極的控制外,團隊也投入低功率奈米電子元件的特性研究。近來,隨著半導體製程往奈米邁進,團隊研究方向則鎖定在低溫半導體於HPC、量子電腦等領域。
成功大學電機系副教授高國興説,矽基半導體的特性,在於高速運作過程中,會產生非常高的溫度,因此需要一套完善的散熱機制,才能維持晶片運作,這也是打造HPC環境不可忽略的部分。而在降低能源消耗的前提下,許多大型業者都選擇將資料中心建置在低溫環境中,藉此減少散熱能源的消耗。因此,半導體元件操作於低溫環境中可望改善系統的能源消耗,也有望降低HPC或資料中心的能源消耗,並且讓量子電腦發展向前邁進重要的一大步。
借重運算資源能量 加速半導體研究
回顧早期投入半導體研究之初,受限於學校研究中心的運算資源有限,高國興團隊只能在個人電腦上執行相關研究,研究進度自然不如預期。隨後在科技部協助下開啟與國網中心的合作,以「超低溫金氧半場效電晶體由於直接穿隧電流所造成之臨界擺幅飽」專案,透過國網中心開發之simplateform量子電傳輸計算模組,搭配台灣杉1號運算資源,縮短相關專案的研究時間。
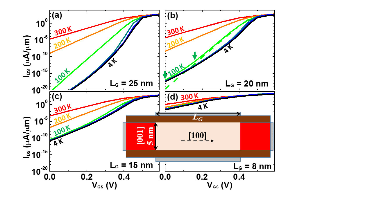
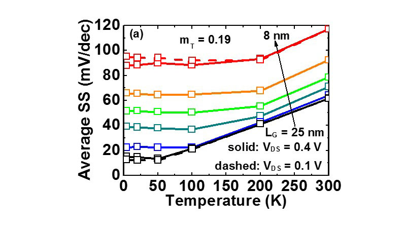
高國興指出「雖然2015年國網中心還沒有台灣杉主機,但是仍然有台灣最強的超級電腦,所以能夠支撐半導體專案的研究,讓我們無須擔心運算支援的問題。特別是國網中心的simplateform平台使用者介面非常易懂,讓團隊可輕易在超級電腦上執行大量的計算工作,大幅降低計算量龐大的量子傳輸模擬的運算時間。」另一方面,國網中心亦協助團隊解決在接近絕對零度的元件模擬中,所遭遇的各種數值問題,讓團隊藉由理論計算得出的結果,即於4 K下Si通道不能短於20 nm,且得以順利提出解決方案。
由於未來每一個量子位元必須由傳統元件所操縱,因而Si通道不能短於20 nm會限制CMOS密度,這也許暗示著量子位元的密度上限。此研究主題亦與量子電腦議題相關,且高國興團隊已將成果發表於IEEE最具影響力的國際電子元件期刊,除彰顯研究專案的重大創新性與突破性外,也有助於提升台灣的國際學術地位。
由於高國興近期於比利時微電子研究中心(imec)執行移地研究計畫,所以也開啟imec 與國網中心甚至是國研院的合作契機,對於提升台灣的全球知名度,以及維持半導體產業的領先優勢等,均帶來正面的幫助。
文章來源:本文擷取自DIGITIMES。
